
적분기, 미분기
연산증폭기 적분기
1. 적분기란 ?
- 연산증폭기 적분기는 입력 신호의 시간적 적분값에 비례하는 출력 신호를 생성하는 회로
- 반전 증폭기 회로에서 피드백 저항 대신 커패시터를 사용하고, 입력에는 저항을 사용한 형태로 구성
1) 출력특성
- 출력 전압은 입력 전압의 시간 적분 값에 비례
- 사각파 입력 시 삼각파 출력
- 이상적인 적분기에서는 입력 신호보다 90도 앞선 위상을 가짐
2) 주파수 응답
- 주파수 영역에서 전압 이득은 입력 주파수, 저항, 커패시터 값에 반비례
- 낮은 주파수 : 직류(DC) 또는 낮은 주파수에서는 연산 증폭기의 높은 이득과 커패시터의 무한대에 가까운 임피던스로 인해 정상적인 적분 동작을 하지 않음
- 높은 주파수 : 특정 주파수 이상에서만 정상적인 적분기 역할을 수행
3) 실용적인 회로 설계
- 실제 회로에서는 직류 동작을 위해 캐패시터와 병렬로 피드백 저항(Rf)을 추가하여 고주파 이득을 제한
- 이때, R과 C 부분은 적분기로 동작하고, Rf는 이득을 제한하는 역할
2. 주요 사용처
- 미분 방정식 및 아날로그 컴퓨터: 복잡한 미분 방정식을 풀거나 아날로그 컴퓨터의 연산 블록으로 사용
- 신호 처리 및 센서 인터페이스 : 센서 신호를 처리하고, 특히 가속도계와 같은 센서의 출력 신호(가속도)를 적분하여 속도와 변위를 계산하는 데 사용
- 파형 발생기 : 한 형태의 파형을 다른 형태의 파형으로 변환하는 데 사용. 예를 들어, 구형파 입력으로 삼각파 출력을 생성하는 회로를 만들 수 있음
- 제어 시스템 : PID 제어기(비례-적분-미분 제어기)의 적분기(I-term) 부분을 구성하여 제어 시스템의 안정성과 성능을 향상시킴
- 신호 필터링 : 특정 주파수 대역의 신호를 제거하거나 강조하는 필터 회로를 구현하는 데 활용
- 신호 평균값 추출 : 입력 신호의 특정 시간 구간에 대한 평균값을 추출하는 데 사용
3. 연산증폭기 적분기

그림 a
그림 a 는 반전증폭기 회로에서 저항 Rf 대신에 커패시터 C로 대치한 회로
=> 출력전압이 입력전압의 전분값에 비례하여 표시되는 적분기 회로
커패시터의 충전 전하는 전류와 시간에 비례하며, 전압과 커패시턴스에 비례
=> 두 관계로부터 커패시터 전압을 유도
Vc = ( Ic / C ) * t
커패시터 전압은 원점을 지나고 기울기가 Ic / C 인 t 에 비례하는 직선으로 표시
=> 일반 RC회로에서 커패시터의 충전에 따라 전류는 지수적으로 감소
=> 실제 커패시터 전압은 선형이 아니고 지수함수로 표시
연산증폭기를 사용한 적분기의 RC회로에서는 커패시터 전류가 일정하게 유지
=> 지수함수적인 전압이 아니라 거의 선형적인 전압을 생성

그림 b
그림 b 에서 연산증폭기의 반전입력은 가상접지, Ri 의 전압은 Vin 과 동일
=> Vin 이 일정하면 반전입력이 0V 로 일정하므로 전류 Iin 도 일정
=> 반전입력 전류는 무시되므로 커패시터 전류 Ic 는 Iin 과 동일
Ic = Iin = Vin / Ri

그림 c
전류 Ic 가 일정한 비율로 커패시터를 충전시키므로 Vc 는 선형적으로 변화
=> 커패시터의 ( + ) 단자는 연산증폭기의 가상접지에 의해 0V 를 유지
=> ( - ) 단자 전압, 즉 출력전압은 그림 c 와 같이 선형적으로 감소

그림 d
그림 d 에서 적분기의 출력전압 Vout 은 커패시터 ( - ) 단자의 전압과 동일
=> 계단입력 전압이 인가되면 출력전압은 -Vmax 까지 감소
커패시터의 충전율의 기울기는 Ic / C 로 결정되며 충전전류는 Ic = Iin = Vin / Ri
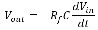
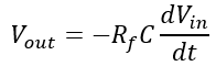
=> 적분기의 출력의 변화율(기울기)는 그림 e

그림 e
이상적인 적분기에서는 귀환 소자로 직류전압에 개방 소자인 커패시터를 사용
⇒ 실제 적분기에서는 오프셋과 바이어스 전류에 의해 출력 에러 발생
⇒ 출력 에러를 제거하기 위해서 커패시터와 병렬로 Rf ( > Ri )를 연결
연산증폭기 미분기
1. 미분기란 ?
- 연산증폭기(Op-Amp) 미분기는 입력 신호의 시간에 대한 변화율에 비례하는 출력 전압을 만드는 회로
- 반전 증폭기 회로에서 입력 저항(R1) 대신 커패시터 (C)를 사용하고, 반전 입력 단자와 출력 단자 사이에 피드백 저항(Rf)을 연결
1) 출력 특성
- 입력 전압의 시간적 변화율에 비례하는 신호를 출력
2) 주파수 응답
- 주파수가 증가할수록 이득이 선형적으로 증가
- 위상은 입력 신호보다 90 늦음
- 이득이 1이 되는 주파수는 1/RC로 결정됨
3) 회로 구성
- 반전 증폭기 회로에서 저항 대신 커패시터를 입력단에 연결하고, 피드백 루프에 저항을 사용해 구성함
4) DC 응답
- 직류(DC) 신호에 대해서는 커패시터의 임피던스가 매우 커져(개방 회로) 부귀환이 형성되지 않아 불안정해집니다. 이를 방지하기 위해 고주파수 안정성 문제와 함께 피드백 루프에 저항을 추가하여 직류 이득을 제한함
2. 주요 사용처
- PID 제어기 (PID Controller) : 산업 자동화 시스템에서 온도를 정밀하게 제어하거나 모터 속도를 조절하는 데 사용되는 PID 제어기에서 미분기 회로는 오차 신호의 변화율(D, Derivative)을 계산하여 시스템의 급격한 변화를 예측하고 안정성을 높이는 역할
- 파형 변환 및 신호 처리 (Wave Shaping and Signal Processing) : 입력 신호의 고주파 성분을 감지하거나, 구형파의 모서리(edge) 상승/하강 시간을 분석하여 신호의 이상 유무를 판단하는 회로에 사용
- 아날로그 컴퓨터 (Analog Computers) : 과거 아날로그 방식으로 복잡한 미분 방정식을 풀어야 했던 시뮬레이션 및 계산 장치에서 핵심적인 연산 블록으로 활용
- 지진계/진동 모니터링 시스템 (Seismic/Vibration Monitoring) : 지진이나 기계 진동과 같이 순간적인 변화를 감지해야 하는 센서 인터페이스 회로에서 미분기가 사용
- FM 복조기 (FM Demodulators) : 주파수 변조(FM) 신호를 복조할 때, 신호의 '변화율 감지기(rate-of-change detector)'로 사용
- 경보 및 안전 시스템 (Alarm and Safety Systems) : 특정 측정값(예: 압력, 온도)의 변화율이 일정 임계값을 초과할 때 경보를 발생시키는 시스템에서 신호 컨디셔닝 목적으로 사용
3. 연산증폭기 미분기

그림 f
그림 f 는 그림 a 의 적분기에서 R 과 C 의 위치를 바꾸어 놓은 회로
=> 출력전압이 입력전압의 변화율(미분)에 비례하는 미분기 회로

그림 g
그림 g 의 미분기 회로에 ( + )의 기울기를 갖는 램프입력을 인가한 경우
=> Ic = Iin 이고 반전입력이 가상접지이므로 Vc 는 Vin 과 동일
=> 커패시터 전압의 변화율 ( Vc / t ) 이 일정하므로 전류는 일정
=> 전류가 일정하므로 출력전압도 일정하며 식은 그림 h

그림 h

그림 i
그림 i 와 같이 입력의 기울기가 ( + ) 이면 출력은 ( - ), ( - )이면 출력은 ( + )
=> 입력이 t0 ~ t1 인 동안 커패시터는 입력전원에 의해 충전
=> 귀환저항을 통해 흐르는 전류의 방향은 시계 방향
=> t1 ~ t2 에 커패시터는 방전되며 전류의 방향은 반대
'연구노트 > 연산증폭기(OP-AMP)' 카테고리의 다른 글
| 비교기 (1) | 2025.11.25 |
|---|---|
| 연산증폭기(OP-AMP) 입력모드 [ 2 / 2 ] (0) | 2025.11.24 |
| 연산증폭기(OP-AMP) 입력모드 [ 1 / 2 ] (0) | 2025.11.17 |
| 연산증폭기(OP-AMP) 개요 (0) | 2025.11.10 |